본문 바로가기

수학적 단편지식

전미분의 정의

미적분학을 공부하다보면 전미분과 편미분을 배우게 되는데요, 종종 이 개념들이 헷갈립니다... 

 

오늘은 이 두 개중 '전미분'에 대해 정확히 아는 시간을 가져보도록 하겠습니다.

 

 

 

먼저, '증분'의 정의부터 짚고 넘어가겠습니다.

1. 증분

정의: $x$가 $a$에서 $a+\triangle x$로, $y$가 $b$에서 $b+\triangle y$로 각각 변한다고 가정하면, 이에 대응하는 $z$의 증분은 이다.

 

 

증분의 정의를 $x$와 $y$, 두 변수에 대해 정의내려 조금 와닿지 않는 분들이 계실 텐데요, 가장 일반적인 $y=f(x)$로 생각해보면 훨씬 더 이해가 잘 되실 겁니다.

$y=f(x)$일 때, $\triangle y=f(x+\triangle x)-f(x)$

 

자, 이번에는 '미분가능'에 대해 정의내려 보겠습니다. 마찬가지로 두 변수에 대해 정의 내려보도록 하겠습니다.참고로, 두 변수에 대해 정의를 내리는 이유는 편미분과의 비교를 하기 위함입니다. (편미분이 두 개 이상의 독립변수에 대해 각각 미분하는 것이기 때문이죠!)

 

 

2. 미분가능

정의: $z=f(x,y)$일 때, $f$가 $(a,b)$에서 미분가능하다는 것은 $\triangle z$를 다음과 같이 표현할 수 있는 경우이다.

$\triangle z=f_x(a,b)\triangle x+f_y(a,b)\triangle y+c_1\triangle x+c_2\triangle y$

(단, $(\triangle x,\triangle y) \longrightarrow (0,0)$ 일 때, $c_1\rightarrow 0, c_2\rightarrow 0$이다.)

 

 

 

 

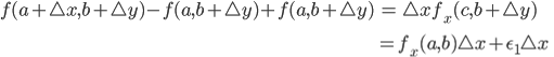
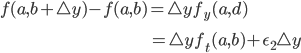
자, 이제 $\triangle z=f(a+\triangle x, b+\triangle y)-f(a,b)\\ \quad\; = f(a+\triangle x, b+\triangle y)-f(a,b+\triangle y)+f(a,b+\triangle y)-f(a,b)$ 라고 해봅시다.

증분의 정의에 의해 첫 식을 쓸 수 있을 것이고, 두 번째 식은 같은 항을 더하고 빼주었으니 등식에는 아무런 문제가 없습니다.

 

위 식을 하나 하나 뜯어볼게요.

 

먼저, 평균값 정리에 의해

 

라고 할 수 있습니다.

 

분모를 이항해주면,

 

입니다.

 

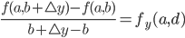
같은 방식으로  y에 대해서도 풀어보도록 하겠습니다.

 

 

 

 

자, 이제 오늘의 주인공, 전미분에 대해 보도록 할게요!

 

 

3. 전미분

정의: 2변수함수 $z=f(x,y)$에 대하여 미분 $dx$와 $dy$를 독립변수로 정의하자.
즉, $dx$와 $dy$는 임의값으로 주어질 수 있다. 이 때, 미분 $dz$는 다음과 같이 정의된다.

이 경우에 미분 $dz$는 전미분이라고 부르기도 한다.

 

 

한 번 유도 해보도록 하겠습니다.

 

$\lim_{(\triangle x,\triangle y) \rightarrow (0,0)} \triangle z = dz$

$\lim_{(\triangle x,\triangle y) \rightarrow (0,0)} \triangle z = \lim_{(\triangle x,\triangle y) \rightarrow (0,0)}(f(x+\triangle x,y+\triangle y)-f(x,y) )$

 

로 쓸 수 있죠.

 

$\lim_{(\triangle x,\triangle y) \rightarrow (0,0)}(f(x+\triangle x,y+\triangle y)-f(x,y) )=\lim_{(\triangle x,\triangle y) \rightarrow (0,0)}(\frac{f(x+\triangle x,y+\triangle y)-f(x,y+\triangle y)}{x+\triangle x-x} \times \triangle x\;+\; \frac{f(x,y+\triangle y)-f(x,y)}{y+\triangle y-y}\times\triangle y)$

 

이제 여기서,

 

$\frac{f(x+\triangle x,y+\triangle y)-f(x,y+\triangle y)}{x+\triangle x-x} \longrightarrow f_x(x,y)$

$\triangle x \longrightarrow dx$

$\frac{f(x,y+\triangle y)-f(x,y)}{y+\triangle y-y} \longrightarrow f_y(x,y)$

$\triangle y \longrightarrow dy$

 

이므로 위의 식은 전미분 공식과 같은 형태라고 볼 수 있습니다.